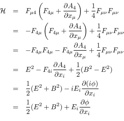
Gary Simpson Blog